This objective refers to the improvement of the thermal comfort in outdoor spaces by enhancing the quality of outside environments by reducing ambient and mean radiant temperatures, decreasing the amount of solar exposure and thus reduce surface temperatures and the heat stored in the urban fabric, and promoting the use of outdoor spaces for relaxation, leisure, meeting and other activities [Gherraz et al. 2018, CRC 2017] .
Reduce Heat-Related Morbidity and Mortality
This objective refers to the reduction of the number of additional deaths in the population and the negative impacts (illnesses) on people’s health that are attributed to high urban temperature and/or extreme heat events (i.e. UHI and heatwave) [CRC 2017] ; by reducing the public health burden, reducing the heat exposure and increasing the accessibility of vulnerable populations to affordable cooling systems, and preparing and protecting people’s health during hot weather.
Reduce Peak Electricity Demand
This objective refers to the reduction of the maximum electricity demand employed for cooling indoor spaces (buildings) during hot weather conditions, that can be achieved by providing cooler outdoor environments and decreasing the need for air-conditioning in indoor spaces which in turn results in less waste heat production (anthropogenic heat) and reduced carbon emissions [CRC 2017].
Reduce Peak Water Demand (Building and Irrigation)
Water features installed in public open spaces entail additional water supply on hot days. Source [CRC 2017]
This objective refers to the reduction of the maximum water demand employed in buildings and for irrigation during a period of extreme heat by providing an efficient use of water for reducing people’s health problems, sustaining greenery and providing evaporative cooling in urban environments [Santamouris et al. 2017]
UHI Mitigation Indicators
UHI intensity (air and surface temperatures)
Schematic cross-section of a typical urban heat island, its corresponding diurnal and nocturnal air/surface temperature traverses and different types of urban heat island. (BLUHI – Boundary layer urban heat island, CLUHI – Canopy layer urban heat island, SUHI -Surface Urban heat island, SSUHI – Sub-surface urban heat island. Source: [Koc 2018]
The magnitude of UHIs can be quantified by estimating the UHI intensity (ΔTu-r) which is measured by the difference between the highest air or surface temperature of a given location (usually referred as urban area) and the corresponding temperature of a reference point (commonly referred as the rural surrounding) [Tzavali et al. 2015].
Cooling Degree Days (CDD) index
The CDD is a measure of how much (in degrees) and for how long (in days) outdoor average ambient temperature is above a base temperature, that is the point above which a place needs to be cooled (this may vary among locations). For the calculation of the CDD, the mean degree hours method can be implemented since it is considered as the most rigorous (and mathematically precise) method [CIBSE 2019]. This estimation consists of subtracting the base temperature from the hourly outdoor air temperatures, and average the sum of positive hourly differences, which are referred as cooling degree hours (CDH) analogously to cooling degree days, over the day. The CDD index can be used to determine the severity of the climate and the calculation of the residential cooling load savings [Santamouris et al. 2017].
Perceived human thermal comfort
Schematic representation of energy exchanges between a pedestrian and the surrounding urban environment; and the influence of vegetation on human thermal comfort. Source [Koc 2018]
There are available several indices that can be utilised to measure the effect of UHIs on perceived human thermal comfort (HTC) and these include:
Universal thermal climate index (UTCI)
This is an outdoor thermal comfort (OTC) index which is based on a human energy model that quantifies OTC by integrating the personal parameters (human activity and insulation) and four thermal-physiological factors: ambient temperature, mean radiant temperature, relative humidity and wind speed. The impact of UHI mitigation technologies can be evaluated by estimating the difference in UTCI between the base scenario and the mitigation strategy [UTCI 2019, Blazejczyk 2012].
The Physiological Equivalent Temperature (PET) biometeorological index
This index provides is a human biometeorological indicator that describes the thermal perception of an individual. The PET is applicable for both indoor and outdoor environments [Höppe 1999].
The Temperature of Equivalent Perception (TEP) thermal index
The TEP index provides a thermal sensation scale based on the air temperature of a reference environment [Monteiro et al. 2009].
Predicted mean vote (PMV)
This measure provides an empirical fit to the human sensation of indoor thermal comfort by predicting the average vote of a large group of people according to a seven-point thermal sensation scale ranging from hot (+3) to cold (-3) [Designing Buildings Wiki 2019].
Heat-related mortality or excess deaths
This measure refers to the number of additional deaths in the population that can be attributed to extreme heat events (i.e. UHI and heatwave). This is usually estimated by counting the number of excess deaths in a year per 100,000 inhabitants considering the average number of deaths over a certain period (i.e. five years).
Further, the heat related mortality model developed by Gosling et al. (2007) [Gosling et al. 2007] quantifies the relationship between the increment of ambient temperatures and heat-related daily mortality rate per 100,000 people, as per the following equation:
Mortality Rate (MR) = e 4.898 - 241.2 / Tmax
It should be noted that heat related mortality should be used with caution as this index is also dependent on demographic factors as the proportion of vulnerable populations (i.e. children and elders) may vary among locations [Santamouris et al. 2017].
Cooling energy savings
The calculation of the energy saved because of the application of a UHI mitigation strategy can be quantified by using two empirical indicators as suggested by Santamouris (2014) [Santamouris 2014] [Santamouris et al. 2017]:
The global energy penalty per unit of city surface and per degree of the UHI intensity (GEPSI).
The GEPSI index (kWh/m2/K) is highly influenced by building density and considers the average UHI characteristics of a given place. Thus, higher GEPSI values correspond with a higher building density and UHI intensity.
The global energy penalty per person and per degree of the UHI intensity (GEPPI).
The GEPPI index (kWh/p/K) is highly influenced by population density and average UHI intensity characteristics of a given place. Thus, higher GEPPI values correspond with a lower population density and higher UHI intensity.
Peak Electricity Demand
This calculation refers to the maximum electricity demand employed for cooling registered during a specific period. The impact of UHI mitigation strategies can be measured by comparing the electricity demand of a base case scenario (when no mitigation strategy has been implemented) versus the electricity reduction achieved by implementing different mitigation strategies [Santamouris 2016, Santamouris et al. 2017].
Peak water demand
This calculation refers to the maximum water demand registered during a specific period (i.e. a heatwave) compared to a reference case [Brazel 2009]. The impact of UHI mitigation strategies can be measured by comparing the water consumption demand of a base case scenario (when no mitigation strategy has been implemented) versus the expected water consumption estimated when different mitigation strategies are implemented. It should be noted that the peak water demand may be affected by water restrictions such as droughts.
This zone corresponds to a range of low-density residential uses such as dwelling houses and dual occupancies as well as non-residential uses to meet the day to day needs of residents. This zone also includes residential housing in rural settings and/or large lots.
Medium Density Residential
This zone corresponds to a broader range of residential dwellings such as residential flat buildings, attached dwellings (terraces), and multi-dwelling housing (townhouses).
High Density Residential
This zone provides a variety of housing types within a high-density residential environment. Also, it permits other land uses that provide facilities or services to meet the day to day needs of residents.
Local Centre
This zone refers to small and medium scale centres that provide a range of retail, business, entertainment and community functions that serve the day-to-day needs of residents.
Commercial Cores
This zone provides a wide range of retail, business, office, entertainment, community and other suitable land uses that serve the needs of the local and wider community.
Mixed Use
This zone corresponds to centres containing an integrated range of businesses, residential and retail uses that are in proximity to public transport. These centres are generally characterised as corridor or strip centres
Light Industrial
This zone provides a wide range of mix of business (i.e. business parks and corridors), light industrial, warehouse and related land uses that support the viability of centres. It also provides facilities or services to meet the day to day needs of workers in the area.
Heavy Industrial
This zone provides suitable areas for those industries that need to be separated from other land uses. This zone also includes to areas dedicated to industrial and maritime activities that require direct waterfront access (i.e. ports).
Institutional
This zone corresponds to a range of government and community facilities and institutions including schools, signal stations, police stations, council buildings, etc.
Recreation
This zone applies to publicly- and privately-owned land and touristic areas such as open spaces (i.e. plazas, squares), recreation land, local, regional and national parks, and reserves.
Infrastructure
This zone corresponds to a range of infrastructure including, major roads (i.e. highways), railway stations and transport corridors, energy, water and sewage supply systems and facilities.
Recommended UHI Mitigation Strategies
Please make sure you have selected:
At least one of:
An objective
A climate region
An urban context
At least one of:
Building mitigation strategies
Public realm mitigation strategies
Community mitigation strategies
Effectiveness
An increase of 10% of albedo can reduce air temperatures between 0.23 °C and 0.62 °C [Santamouris et al. 2017].
Cool roofs can decrease indoor temperatures of occupied spaces below between 1.2°C and 4.7°C. This corresponds with an energy reduction for air-conditioning between 18-34% in summer and temperate climate and an increase of 10% in winter required for heating [CRC 2017].
Cool roofs can reduce surfaces temperatures up to 33.0 °C [CRC 2017].
An increase of 10% of albedo can reduce air temperatures between 0.23 °C and 0.78 °C [Santamouris et al. 2017].
Cool envelopes can decrease indoor temperatures of spaces adjacent to walls up to 2.5°C [CRC 2017].
Cool envelopes can reduce surfaces temperatures up to 33.0 °C [CRC 2017].
Green roofs can reduce surface temperatures between 5.0 and 15.0°C [CRC 2017].
Green envelopes can decrease indoor temperatures of spaces below roofs up to 2.0°C [CRC 2017].
Green envelopes can decrease ambient temperatures up to 4.0 °C [CRC 2017].
Green envelopes can reduce surface temperatures between 5.0 and 15.0°C [CRC 2017].
Green envelopes can decrease indoor temperatures of spaces adjacent to walls up to 2.0°C depending on orientation [CRC 2017].
A cooling effect of 0.15 °C and 0.05 °C can be achieved during day and night respectively by decreasing H/D-ratio (ratio of average building height to the average distance between buildings [Matthias 2014].
A decrease of 10% of building area can reduce daytime surfaces temperatures between 0.32 and 0.65 °C depending on the season [Koc 2018].
A decrease of 10% of building area can reduce night-time surfaces temperatures between 0.06 and 0.76 °C depending on the season [Koc 2018].
Shading devices can decrease surface temperatures up to 15 °C [CRC 2017]
An increase of 10% of albedo can reduce ambient temperatures between 0.27 °C and 0.9 °C [Santamouris et al. 2017].
An increase of 10% of albedo of impervious surfaces can decrease daytime surfaces temperatures up to 0.18°C and night-time temperatures up to 0.22 °C [Matthias 2014].
Cool pavements can decrease ambient temperatures up to 2.0 °C [CRC 2017].
Cool pavements can reduce surfaces temperatures up to 33.0 °C while permeable paving up to 20.0°C [CRC 2017].
Street trees can decrease ambient temperatures up to 4.0 °C [CRC 2017].
Urban trees and hedges can cause a peak ambient temperature reduction between 0.1 and 7.0°C and a median maximum temperature drop of 1.5°C [Santamouris et al. 2017].
Surface temperatures of well-irrigated grasses can be up 15.0 °C cooler than surrounding paved areas, while dry grasses only up to 5.0 °C [Koc 2018, CRC 2017].
An increase of 10% in tree canopy cover can decrease diurnal surface temperatures up to 1.05 °C in summer and 0.25 °C in winter [Koc 2018].
Well irrigated green open spaces (parks) can decrease radiant temperatures between 2.0 and 4.0 °C, and ambient temperatures between 1.0 and 2.0 °C [CRC 2017].
Grasses in green open spaces may decrease peak ambient temperatures between 0.1 and 3.0 °C and an average decrease of ambient temperatures between 0.1 and 1.0 °C [Santamouris et al. 2017].
Green open spaces (parks) can decrease surface temperatures up to 15.0 °C [CRC 2017].
An increase of 10% in area of well-irrigated grasses can decrease diurnal surface temperatures up to 0.29 °C in summer and 0.13 °C in winter [Koc 2018].
Surface/running water can decrease surface temperatures by at least 5.0 °C [CRC 2017].
Evaporative cooling systems can reduce ambient temperatures between 3.0 and 8.0 °C, while misting fans up to 15.0 °C [CRC 2017].
An increase of 10% in the area of water surfaces can decrease daytime surface temperatures between 0.86 and 1.37 °C and increase night-time surface temperatures between 0.15 and 0.39 °C [Koc 2018].
Water features can achieve a peak temperature reduction close to 4.5 °C [Koc 2018].
Surface water can decrease surface temperatures by at least 5.0 °C [CRC 2017].
An increase of 10% in the area of water surfaces can decrease daytime surface temperatures between 0.86 and 1.16 °C and increase night-time surface temperatures between 0.15 and 0.26 °C [Koc 2018].
Water features can achieve a peak temperature reduction close to 4.5 °C [Santamouris et al. 2017].
zoom_in
Cool Roofs
It should be prioritised the use of cool or reflective materials in roofs with high emissivity, high albedo and high reflectivity properties. These can significantly reduce the absorption of solar radiation and thus, decrease the amount of heat emitted to the atmosphere, improve perceived outdoor and indoor thermal comfort, and decrease cooling energy demand.
Provisions
Option 1
Encourage the construction of roofs with materials with high emissivity and high albedo characteristics, and low heat conductivity capacity. Design and selection of a cool roof should consider situations where the roof may be highly prominent to other building occupants or users of public spaces, and should be adapted to consider any potential undesirable glare. [Santamouris 2014, Santamouris et al. 2011, CRC 2017].
Option 2
Replace conventional roof materials with high emissivity and high albedo surfaces (i.e. highly reflective ceramic tiles, light-coloured metal roofs). Alternatively, apply white or light-coloured coatings to the roof or walls of buildings (single ply or liquids) when replacing existing materials is not feasible (i.e. retrofitted buildings). Exclusions may apply to heritage buildings where preservation/conservation of original materials has to be prioritised [Santamouris 2015, CRC 2017].
Option 3
Apply coloured coatings with a high reflectivity or thermochromic materials (intelligent coatings) developed with nanotechnology that enhance thermal and optical properties [Santamouris 2014, Santamouris et al. 2011].
Option 4
Increase the proportion of lighter aggregates, pigments and binders in conventional construction materials [Santamouris 2015].
Option 5
Minimise the use of dark-coloured, low solar reflectance, and low emittance materials (i.e. dark-coloured bricks, concrete, tiles, stones); unless ‘smart’ materials (which can reflect in the near-infrared/infrared) are used [Santamouris 2014, Santamouris et al. 2011].
Option 6
Cool roofs may incorporate water sensitive urban design (WSUD) strategies (see WSUD provisions) to harvest rainwater that can be used for irrigation purposes [CRC 2017].
Schematic cross-section of typical cool roofs. Source [CRC 2017]
zoom_in
Cool Facades
It should be prioritised the use of cool or reflective materials in walls (external facades) with high emissivity, high albedo and high reflectivity properties. These can significantly reduce the absorption of solar radiation and thus, decrease the amount of heat emitted to the atmosphere, improve perceived outdoor and indoor thermal comfort, and decrease cooling energy demand.
Provisions
Option 1
Encourage the construction of facades with materials with high emissivity and high albedo characteristics, and low heat conductivity capacity. Interventions should also consider undesirable glare for occupants of other buildings and users of the public realm [Santamouris 2014, Santamouris et al. 2011, CRC 2017].
Option 2
Replace conventional envelope materials with high emissivity and high albedo surfaces (i.e. highly reflective ceramic tiles, light-coloured metal roofs). Alternatively, apply white or light-coloured coatings to walls of buildings (single ply or liquids) when replacing existing materials is not feasible (i.e. retrofitted buildings). Exclusions may apply to heritage buildings where preservation/conservation of original materials has to be prioritised [Santamouris 2015, CRC 2017].
Option 3
Apply coloured coatings with a high reflectivity or thermochromic materials (intelligent coatings) developed with nanotechnology that enhance thermal and optical properties [Santamouris 2014, Santamouris et al. 2011].
Option 4
Increase the proportion of lighter aggregates, pigments and binders in conventional construction materials [Santamouris 2015].
Option 5
Minimise the use of dark-coloured, low solar reflectance, and low emittance materials (i.e. dark-coloured bricks, concrete, tiles, stones) ; unless ‘smart’ materials (which can reflect in the near-infrared/infrared) are used [Santamouris 2014, Santamouris et al. 2011].
Option 6
Reduce the application of extensive glazed facades or curtain walls in areas of the building that are largely exposed to solar radiation (especially north- and west-facing facades).
zoom_in
Green Roofs
Green roofs are roof systems that partially or completely covered with plants and a growing medium. Green roofs can provide solar and heat protection to buildings and contribute to decrease surface temperatures, improve indoor thermal comfort and decrease cooling energy demand of spaces directly below or separated by one or two floors from the roof. Green roofs can also contribute to increase local biodiversity, reduce the reflection from surrounding glazed surfaces, harvest rainwater for irrigation, and reduce stormwater runoff and peak flow rates. The cooling performance and effectiveness of green roofs depend on external factors such as climatic conditions (solar radiation, ambient humidity, wind speed, precipitation) and construction parameters (types and amounts of plants, depth of growing medium, irrigation levels).
Application of extensive green roofs planted with small plants and grasses (growth media 50-150 mm) are suggested for new or retrofitted buildings requiring a low-maintenance and light-weight structure. Extensive green roofs should be applied to roof structures with a maximum slope of 30° and are more suitable for buildings in suburban areas [CRC 2017].
Option 3
Application of intensive green roofs with medium and large plants and grasses (growth media 150-400 mm) are suggested for new buildings where additional structural support and maintenance can be provided due to weight loads associated with deeper soils, root control layers and drainage systems. These are more suitable for commercial and flat roofs where people can access for recreation and relaxation [City of Adelaide 2019, CRC 2017].
Option 4
It is recommended the use of plants that can tolerate heat, wind, droughts and full sun to reduce costs associated with irrigation (water stress), installation of drainage layers, and heat stress. Harvesting rainwater for irrigation through the use of water tanks can help maintain good irrigation levels of green roofs to provide effective cooling benefits and maximise rainwater capture/reuse (see WSUD provisions) [City of Adelaide 2019, CRC 2017, Santamouris 2015, DEPI 2014].
Option 5
Extensive green roofs can be integrated with photovoltaic (PV) panels to increase the efficiency of PV-based energy production via the cooling effect of the plants and reduce solar exposure of roofs [CRC 2017, DEPI 2014].
Schematic cross-sections of typical extensive and intensive green roofs. Source [CRC 2017]Example of green roofs installed in educational buildings in Singapore. Source [CRC 2017]
zoom_in
Vertical Greenery Systems
Vertical greenery systems (VGS) –also referred as green/living walls– integrate plants onto buildings facades and other vertical structures. These can increase evaporative cooling and provide solar and heat protection (shade) by reducing surface temperatures, improving indoor thermal comfort of buildings and contributing to energy conservation. In addition, VGS can contribute to human wellbeing, regulate stormwater impacts, reduced water usage, increase local biodiversity, improve the efficiency of building integrated PV (BIPV), and increase property values and amenity for people.
Provisions
Option 1
Green walls are suggested for new or retrofitted buildings when a supportive structure is required as a growing medium which is usually affixed to walls. The structural support can be provided through a vegetated modular/hydroponic system, a containerised substrate or hanging planters [City of Adelaide 2019, CRC 2017, DEPI 2014].
Option 2
Living walls are suggested for new or retrofitted buildings when plants can be rooted on ground and these can grow either directly onto the wall or with the help of a double-skin or trellis system. This system is recommended to cover facades with dark-coloured, low reflectivity and low albedo materials (i.e. dark-coloured concrete, bricks, tiles) [City of Adelaide 2019, CRC 2017, DEPI 2014].
Option 3
Balcony scale green walls consists of small, modular and self-contained planting systems that could be contemplated in multi-unit residential buildings when other types of vertical greening is not possible [City of Adelaide 2019, DEPI 2014].
Option 4
Hybrid VGS combining different structures and climbing plants can be applied to extensive building facades at relatively low cost and low water demand [City of Adelaide 2019, Santamouris 2015].
Option 5
It is recommended the use of plants that can tolerate heat, wind, droughts and full sun to reduce costs associated with irrigation (water stress), installation of drainage layers, and heat stress. Harvesting rainwater for irrigation through the use of water tanks can help maintain good irrigation levels of VGS to provide effective cooling benefits and maximise rainwater capture/reuse (see WSUD provisions). [City of Adelaide 2019, CRC 2017, Santamouris 2015, DEPI 2014].
Option 6
The installation of green walls in front of glazed areas can be implemented to reduce the incident sun and heat load on buildings and the reflection from glazing [City of Adelaide 2019, DEPI 2014].
Example of a living wall installed in commercial buildings in Sydney (top) and Singapore (bottom). Source [CRC 2017]Schematic sections of different types of green facades and living walls. Source [CRC 2017]
zoom_in
Building Height, Bulk and Setbacks
Provisions
Option 1
It is recommended to create a gradual transition of heights, scales and building masses between adjacent areas [City of Adelaide 2019, Erell et al. 2012].
Option 2
Define arrangements of buildings of different heights in a way that adequate ventilation is provided to dissipate heat more rapidly to the atmosphere [Erell et al. 2012].
Option 3
Avoid deep and narrow urban canyons; although this may contribute to reduce solar exposure –at certain times of the day due to overshadowing from buildings– it tends to trap more heat due to reduced ventilation and mutual reflection and absorption of radiation from building facets [Erell et al. 2012, Koc 2018, Matthias 2014].
Option 4
Avoid designing street canyons that reduce air flows considerably and reduce heat dissipation. This may vary among locations depending on prevailing winds, the orientation and the pattern of streets [Erell et al. 2012, Koc 2018, Matthias 2014].
Option 5
Tall buildings should consider a base (podium), middle and top composition each of them with a respective setback in order to avoid creating deeper urban canyons. This can facilitate a faster dissipation of heat through enhanced air flows [City of Adelaide 2019].
Option 6
Building proposals should provide solar and wind models to understand and evaluate the impact of building design and setbacks on adjacent public spaces and streets [City of Adelaide 2019].
Option 7
In residential areas where zoning dictates a front setback (3-4 m depth), this should be landscaped to accommodate front yards or private gardens, verandas, hedges and green fences (min 1.8m height) to increase vegetation cover and rainwater infiltration and hence improve the micro-climate conditions of adjacent areas and indoor spaces [City of Adelaide 2019].
Option 8
Avoid the conversion of building setbacks into parking areas, driveways or paved areas [City of Adelaide 2019].
Balconies
Balconies sometimes are highly exposed or unprotected and may contribute to decreased HTC conditions and higher peak electricity consumption by increasing the need of air-conditioning on adjacent indoor spaces. Thus, these building elements should be well designed from a climate perspective [City of Adelaide 2019].
Provisions
Option 1
Cantilevered balconies should provide a sense of enclosure and protection from solar radiation in summer while enabling sufficient solar access in winter. A minimum depth of balcony of 1500 mm and width of 3000 mm is recommended to provide sufficient shading for indoor spaces in summer [City of Adelaide 2019].
It is recommended the installation of pot plants or built-in green balconies and terraces [City of Adelaide 2019].
Option 4
Exposed concrete edge slab, full frame-less glass balustrades and exposed/fully glazed balconies should be avoided [City of Adelaide 2019, Erell et al. 2012].
Common effects of urban geometry on the penetration, absorption and reflection of solar radiation at noon and in different seasons in (a) shallow and (b) deep urban canyons oriented East-West. Source [Koc 2018]Examples of a balconies implemented to reduce solar exposure of pedestrians. Source [City of Adelaide 2019]
zoom_in
Shading Devices (Awnings and Verandas)
Buildings provide shade over different urban surfaces, that may vary during the day and seasons, which can help block solar radiation and decrease mean radiant temperatures (MRT) leading to enhanced outdoor thermal comfort in indoor and public areas. Some building elements such as awnings, verandas and arbours can be used as shading devices to provide additional solar protection to footpaths and open spaces adjacent to buildings. However, they should be carefully designed to cut off incident radiation from the sun while enabling light penetration.
Provisions
Option 1
Fixed and retractable awnings of sufficient width (at least 3.5m) and height (3.5-4.5m) should be provided along nominated active streets (and especially north-facing footpaths) to reduce solar exposure of surfaces, minimise solar penetration into buildings’ ground floors and as weather shelters (i.e. rain, wind) [City of Adelaide 2019].
Option 2
Generally, fully glazed awnings should be avoided. However, the combination of partially glazed awnings (integrating PV-integrated systems) with solid materials may be appropriate for some locations where natural light and energy production is pertinent or necessary, for example, in south-facing footpaths (less solar exposure) [City of Adelaide 2019].
Option 3
Non-continuous awnings or with steps ups and breaks can facilitate air movement.
Option 4
Awnings can be additionally used to harvest rainwater for irrigation purposes provided that adequate downpipes, drainage and storage system are integrated and concealed [City of Adelaide 2019, CRC 2017].
Option 5
Building elements such as verandas and balconies can be used as supporting structures to allow the horizontal spread of plants (i.e. trained vines). Suitable depth and distance from underground services should be considered to ensure adequate soil conditions that can support plant growing [City of Adelaide 2019, CRC 2017].
Option 6
Awnings, verandas and shading structures may be constructed with highly-reflective materials provided that reflected glare is controlled to reduce the effects on the occupants of nearby buildings (see Cool roofs). Radiative cooling materials can be also applied to shading devices to enhance outdoor thermal comfort [Santamouris & Feng 2018].
Examples of verandas and building awnings implemented to reduce solar exposure of pedestrians. Source [City of Adelaide 2019]
zoom_in
Cool and Permeable Pavements
A cool pavement can be defined as a street pavement that absorbs less solar radiation than a traditional dark-coloured concrete or asphalt pavement. Significant advances in the development of ‘cool pavements’ have been achieved in recent years and two main technologies are already available to be implemented in urban development. On one hand, developments can apply cool pavements with a high solar reflectivity and high emissivity characteristics that cause a minimal glare effect on pedestrians. On the other hand, there are ‘water retention pavements’ that use the infiltrated water to decrease surface and near-surface air temperatures through evaporation. A detailed list of different cool pavements and technologies and their application on the built environment is presented in the ‘Guide to urban cooling strategies’ developed by Osmond, P., & Sharifi, E. (2017) (page 18) [CRC 2017].
Provisions
Option 1
The use of high albedo and high emittance concrete and asphalt pavements should be prioritised in roads and footpaths; and should be designed to minimise the negative effects of glare on users of the public realm [CRC 2017, Santamouris 2015].
Option 2
Footpath design should consider the application of thermochromic materials (intelligent coatings) developed with nanotechnology that enhance the thermal and optical properties of surfaces (reduced glare effect on pedestrians) [Santamouris et al. 2011].
Option 3
The proportion of lighter aggregates, additives, pigments and binders should be increased in conventional construction materials (i.e. fly ash, chip and sand seals, reflective synthetic binders) [Santamouris 2015].
Option 4
Replace conventional pavements with high emissivity and high albedo cool surfaces. Alternatively, apply light-coloured coatings when replacing existing materials is not possible. Five specific technologies have been identified and these include (1) application of high white coatings, (2) application of infrared reflective coatings, (3) use of heat reflecting coatings to cover existing asphaltic pavements, (4) application of colour changing coatings, and (5) use of fly ash, slag and recycled industrial by-products as aggregates of concrete pavements [Santamouris 2015].
Option 5
Prioritise the use of pervious surfaces and water retentive or permeable pavements instead of traditional impervious surfaces in streets and open spaces as the former facilitate water infiltration into the pavement sublayers that can help reduce surface temperatures through evaporation and help to control stormwater runoff. Six main technologies of permeable pavements are currently available and these are: (1) use of water holdings fillers as additive to porous asphalt, (2) use of fine texture pervious mortars as additive in pervious concrete, (3) use of fine blast-furnace power in water retentive asphalt, (4) use of narrow particles of fly ash in bricks, (5) use of bottom ash and peat moss as additives in pervious concrete, and (6) use of industrial waste as raw materials in ceramic tiles [Santamouris 2015].
Examples and cross sections of cool and permeable pavements. Source [CRC 2017]
zoom_in
Street Trees and Planting
Street trees and plants can positively moderate the urban microclimate of urban canyons and significantly reduce surface and ambient temperatures and improve outdoor thermal comfort. Nevertheless, a unique design, pattern and palette of tree plantings should respond to particular characteristics (i.e. street orientation, level of pedestrian activity, sense of place, character, and type of surrounding activities/uses) and street sections (i.e. widths and heights of frontages). Accordingly, five ‘planting schemes’ have been generally defined according to typical urban areas found in cities [City of Adelaide 2019]:
Civic and commercial streets
Mixed-used streets
Suburban streets
Industrial streets
Historic streets
In addition, three main planting types with anticipated canopy covers are proposed as general guidelines to accommodate trees according to street sections, available space for plantings (considering ground, underground and overhead constraints) and amount of shading required [City of Melbourne 2019]:
Minimum canopy cover (≤20% of the street)
Moderate canopy cover (20-40% of the street)
Large canopy cover (≥40% of the street)
A combination of planting schemes (1-5) and canopy covers (A-C) enables a more versatile and flexible design and distribution of trees in different urban contexts (i.e. 1A corresponds to a civic and commercial street with a canopy cover of 20%). Specific planting configurations would depend on certain constraints (i.e. footpath widths, traffic lanes, light-rail/tram routes, etc.); despite this, general provisions, suggestions and guidelines are recommended below.
A relative uniformity in planting patterns and configuration should be provided by considering factors that may interrupt tree planting such as underground or overhead services, bridges and building awnings. Asymmetrical arrangements may be applied in narrow streets were overhead wires may affect tree planting [City of Adelaide 2019, Coutts & Tapper 2017].
Option 3
Tree and plant species should be diverse, while maintaining the character of the precinct, and logical points along streets where species may vary depending on the amount of shade required [City of Adelaide 2019, Koc 2018].
Option 4
Plant and tree selections should include Australian native and exotic species that suit existing soil conditions and are resistant to water and heat stresses [City of Adelaide 2019].
Option 5
Constant and adequate soil and moisture conditions should be always provided depending on the type of species planted by (1) undertaking continuous trenching and soil improvements, (2) providing passive irrigation using harvested rainwater and stormwater runoffs, (3) planting trees in low-lying or drainage zones of the street, (4) installing permeable pavements in the vicinity of trees, and (5) constructing rainwater/stormwater infiltration pits near or next tree plantings [Koc 2018, Natural resources 2019, Coutts & Tapper 2017].
Option 6
In wide streets, it is suggested continuous rows of tall trees with large crowns, or alternatively multiple-lined or staggered layouts for increasing shaded areas [Koc 2018].
In street without light-rail/tramways, medians can accommodate large canopy trees to reduce solar exposure of asphalt and pavements. Where possible, small ornamental trees can be located in footpaths on either one or both sides of the street [City of Adelaide 2019, Koc 2018, Coutts & Tapper 2017, City of Melbourne 2019].
Option 9
In streets with segregated light-rail/tramways from traffic lanes, it is recommended to use pervious surfaces (grasses, herbaceous plants) or permeable pavements as ground surfaces accompanied by trees of elongated crown shapes along both sides of the light-rail/tramway [City of Adelaide 2019, Koc 2018, Coutts & Tapper 2017, City of Melbourne 2019].
Option 10
Dense tree canopies can provide significant temperature reductions during the day; however, they have a considerable warming effect at night-time; therefore, they should be implemented with care. Furthermore, depending on context and plant species, very dense tree canopies may trap a significant amount of pollutants [Koc 2018].
Option 11
A consistent and regularly-spaced lines of trees with well irrigated grasses along the length of the street is recommended to provide constant solar protection and evapotranspiration during the day and facilitate wind circulation to ease heat dissipation at night [Koc 2018].
Option 12
Where trees are in footpaths, deciduous trees should be favoured in south- and east-facing footpaths and evergreen trees in north- and west-facing footpaths; while trees in medians can be mostly evergreens [City of Adelaide 2019, Koc 2018, Coutts & Tapper 2017].
Option 13
Tree arrangement and species in narrow streets or lanes will depend on the available space for planting and the amount of shade required, so patterns may be less uniform and arrangements more irregular [City of Adelaide 2019, Koc 2018, Coutts & Tapper 2017].
Civic and Commercial Streets
These streets are generally characterised by high pedestrian activity, such as outdoor dining, retail and shops, business activities and public transport (bus lanes, metro, train, light-rail/tramways, etc.)
Option 1
Tree plantings should consider highly robust and resilient species and maintain as much footpath space as possible for different pedestrian activities and businesses [City of Adelaide 2019].
Option 1
A consistent tree canopy of regularly-spaced elements should be provided along the street and especially in areas with high pedestrian activity. Plants should provide generous shade in summer while adequate solar and light penetration in winter, and should be highly suitable to harsh environments, heat-resilient and drought tolerant [City of Adelaide 2019, Koc 2018, City of Melbourne 2019].
Option 2
Where trees are in footpaths, deciduous trees should be favoured in south- and east-facing footpaths while evergreen trees in north- and west-facing footpaths [City of Adelaide 2019, Koc 2018].
Option 3
Adequate soil volume to secure an adequate plant/tree growth must be ensure, particularly in areas with a high degree of conflict with underground or overhead services and road reserves [City of Adelaide 2019, City of Melbourne 2019].
Option 4
Lower scale (low and medium size plants) landscape treatments should be provided where there is adequate space provision [City of Adelaide 2019, Coutts & Tapper 2017].
Option 5
Climbing species and vertical greenery can be used to complement ground tree plantings [City of Adelaide 2019].
Option 6
Passive irrigation systems and water sensitive urban design technologies should be prioritised to ensure evapotranspirative cooling, reduce stormwater runoff and facilitate water infiltration [Koc 2018, Coutts & Tapper 2017].
Mixed-use Streets
These streets are usually located in residential and mixed-use areas of medium and high densities, with local services, restaurants and shops located in the ground floor.
Option 1
Tree planting and landscape treatments should provide flexibility for a diversity of uses and activities [City of Adelaide 2019].
Option 2
Understory planting (pervious surfaces, grasses and shrubs) and permeable surfaces should be provided under or alongside trees. Low cover planting can include bioswales and raingardens in strategic locations [City of Adelaide 2019, Coutts & Tapper 2017].
Option 3
Tree patterns and arrangements should consider underground or overhead services and incorporate lower scale landscaping where possible. Sparsely distributed, multiple-lined or staggered layouts are recommended [City of Adelaide 2019, Coutts & Tapper 2017, City of Melbourne 2019].
Option 4
Climbing species and vertical greenery can be used to complement tree plantings [City of Adelaide 2019].
Option 5
Where trees are in footpaths, deciduous trees should be favoured in south-facing footpaths while evergreen trees in north-facing footpaths [City of Adelaide 2019, Koc 2018].
Option 6
Tree plantings and landscape treatments should encourage communal and productive gardens on public land along the street [Natural resources 2019].
Where street section is wide enough, tree plantings can be accommodated in medians or tree islands to ensure shading of the roadway. Evergreens are the preferred option, subject to the level of solar and light access required in adjacent areas and footpaths [City of Adelaide 2019, Koc 2018, Coutts & Tapper 2017, City of Melbourne 2019].
Passive irrigation systems and water sensitive urban design technologies should be prioritised to ensure effective evapotranspirative cooling, reduce stormwater runoffs and facilitate water infiltration (see WSUD provisions) [Koc 2018, Coutts & Tapper 2017].
Suburban Streets
These streets are typically found in medium and low-density residential areas characterised by wide urban canyons and varying vegetation cover.
Option 1
Tree planting and landscaping should reinforce the local character of each area and the verge treatments of individual properties in a consistent and uniform way; while providing opportunities for people to gather and meet informally [City of Adelaide 2019].
Option 2
Street landscaping should be flexible enough to allow for community driven initiatives like communal and edible gardens on public land [City of Adelaide 2019, Coutts & Tapper 2017].
Option 3
In wide streets provide consistent and continuous rows of tall trees with large crowns, or alternatively multiple-lined or staggered layouts for increasing shaded areas [Koc 2018].
Option 4
Mixed understory verge planting (pervious surfaces, grasses and shrubs) or permeable surfaces should be always provided under or alongside trees. Low cover planting can include bioswales and raingardens in strategic locations [City of Adelaide 2019, Coutts & Tapper 2017].
Option 5
Passive irrigation systems and water sensitive urban design technologies should be prioritised to ensure effective evapotranspirative cooling, reduce stormwater runoffs and facilitate water infiltration (see WSUD provisions) [Koc 2018, Coutts & Tapper 2017].
Industrial Streets
These streets are typically located in industrial sites and warehouse land uses and characterised by wide sections and lack of vegetation.
Option 1
Tree planting and landscape treatments should provide flexibility for a diverse of industrial and warehouse activities [City of Adelaide 2019].
In relatively wide streets, it is recommended consistent and continuous rows of trees with large crowns, or alternatively where section is wide enough, tree plantings can be accommodated in medians or tree islands to ensure shading of the roadway. Evergreens are the preferred option for all cases [Koc 2018].
Option 4
Passive irrigation systems and water sensitive urban design technologies should be prioritised to ensure effective evapotranspirative cooling, reduce stormwater runoffs and facilitate water infiltration (see WSUD provisions) [Koc 2018, Coutts & Tapper 2017]
Historic Streets
These streets are mostly located in historic precincts/locations with a distinct character and important heritage value.
Option 1
Tree planting and landscaping should always reinforce the local character of historical precincts [City of Adelaide 2019].
Option 2
Small ornamental trees can be implemented in areas where large and continuous rows of trees are not possible to be planted [City of Adelaide 2019, Koc 2018].
Option 3
Raised planter boxes and seasonal planting can be implemented in strategic locations to provide maximum flexibility of public spaces, preserve the historic character of the street
Passive irrigation systems and water sensitive urban design technologies should be prioritised to ensure effective evapotranspirative cooling, reduce stormwater runoffs and facilitate water infiltration (see WSUD provisions) [Koc 2018, Coutts & Tapper 2017].
Schematic diagram of the cooling effects of a tree in summer and winter. Source [Koc 2018]Street trees and plantings in civic and commercial areas. Source [Google street view]Street trees and plantings in mixed-use areas. Source [Google street view]Street trees and plantings in suburban areas. Source [Google street view]Street trees and plantings in industrial areas. Source [Google street view]Street trees and plantings in historical areas. Source [Google street view]
zoom_in
Green Open Spaces
Green open spaces (including trees in open spaces) have numerous of benefits including climate moderation (reduction of air and surface temperatures), improved outdoor thermal comfort and amenity, increased biodiversity value, improved human health and social cohesion, energy savings, enhanced air quality, among many others. In this sense, green open spaces should be a primary aspect to consider in the design of any urban development, as it is highlighted as a mainstream strategy to mitigate UHI more effectively.
Provisions:
Option 1
Design of green open spaces should consider a higher proportion of vegetated spaces including lawn, shrubs, trees, water features, and permeable pavements than impervious surfaces. In the case of the latter, cool pavements (see Cool pavements) should be prioritised over conventional pavements [City of Adelaide 2019 , Koc 2018].
Option 2
Generally, increasing tree canopy reduces air and surface temperatures more effectively than other types of vegetation covers. Nonetheless, grasses and shrubs open to the atmosphere or sky can dissipate heat more rapidly if natural surfaces are adequately watered. Accordingly, a variety of tree arrangements and treeless areas across green spaces is strongly suggested. Gradients or borders between open and forested vegetated areas can be created where sun and sufficient shade or shelter are available in close vicinity [Koc 2018].
Option 3
In large open spaces, scattered trees should be preferably placed over or near vegetated surfaces with adequate irrigation. Alternatively, large tree crown species are preferred if these are located in highly paved areas (i.e. open plazas, public squares) and should be preferably accompanied by understorey planting[Koc 2018].
Option 4
A diverse palette of plants species and planting arrangements should be considered in the design of green open spaces, avoiding mass planting with single species [City of Adelaide 2019, Natural resources 2019].
Option 5
Plant selections should include Australian native and exotic species that suit existing soil conditions and should be highly suitable to harsh environments, heat-resilient and drought tolerant [City of Adelaide 2019, Natural resources 2019].
Option 6
In areas with extensive impervious surfaces such as car parks, surfaces should be partially or totally replaced by low plantings and permeable materials with extensive canopy crowns regularly distributed to increase shading [Koc 2018].
Option 7
Green open spaces should be flexible enough to allow for community driven initiatives like communal and edible gardens [City of Adelaide 2019].
Option 8
Passive irrigation systems and water sensitive urban design technologies should be implemented in green open spaces to ensure an effective evapotranspirative cooling, reduce stormwater runoffs and facilitate water infiltration (see WSUD provisions) [Koc 2018].
A green belt of open spaces encircling Adelaide’s CBD. Source [CRC 2017]
zoom_in
Water Features and Evaporative Cooling
The excess heat of the urban environment can be effectively dissipated by using natural heat sinks that usually present much lower temperatures than the surrounding ambient air. Water bodies act as major heat sinks as they are excellent heat absorbers, and along with natural ground cover (i.e. pervious surfaces), can be implemented for passive cooling dissipation to decrease cooling loads of buildings, reduce surface temperatures and improved outdoor thermal comfort [Santamouris et al. 2017, Koc 2018, Natural resources 2019].
Since water properties clearly contrast with those of land (terrestrial) surfaces, water features (i.e. fountains, lakes, rivers, ponds, ocean, marshes, wetlands, etc.) are the most efficient in reducing surface temperatures during the day (especially large water bodies). However, they provide a relative heating effect during the night which is a condition that is more desirable in winter seasons [Santamouris et al. 2017].
On the other hand, as water needs energy to change phase from liquid to vapour, evaporative cooling refers to the process of removing heat from the atmosphere through evaporation .
Provisions:
Option 1
Water streetscapes should be designed and implemented in new and retrofitted developments (i.e. fountains, lakes, ponds, constructed wetlands, etc.) and should be preferably accompanied by greenery including shrubs, grasses and sparsely distributed trees [Koc 2018, CRC 2017].
Option 2
The intensity of cooling effects provided by water features can be controlled by modifying the depth and extent of water; so large and deeper water bodies can provide more cooling benefits compared to shallow water [Koc 2018].
Option 3
Increased evaporative cooling should be strategically provided in public spaces by implementing passive and active systems. Passive systems include the provision of tree plantings and water features (fountains, lakes, ponds, rivers, etc.), while active systems correspond to evaporative/refrigerate air-conditioners such as multi-stage evaporative coolers, fine water sprays, and misting fans (with or without induced air velocity). The latter have proved effective in more humid regions [Koc 2018, CRC 2017].
Option 4
Regular streetscape irrigation and pavement watering systems (i.e. surface running water) should be integrated to the design of open spaces and streets as passive direct evaporative cooling will occur in outdoor spaces with the aid of natural air flow. These systems can be operated on hot days; however, their installation in humid climates may result in increased relative humidity and decreased outdoor thermal comfort [Koc 2018, CRC 2017, Santamouris et al. 2017].
Example of surface/running water and misting fans installed in public open spaces to provide evaporative cooling. Source [CRC 2017]Schematic diagram of different evaporative cooling technologies. Source [CRC 2017]
zoom_in
Shading Structures (Footpath Awnings and Public Spaces)
Shading structures are cost-effective solutions that offer protection to public space users from direct solar radiation and enhance outdoor thermal comfort by decreasing mean radiant temperatures [CRC 2017]. Also, they provide shade over urban surfaces that help reduce surface and near-surface air temperatures.
Provisions
Option 1
Shading devices should be prioritised and installed in overexposed street canyons (i.e. wide footpaths, boulevards, pedestrian streets) and open spaces (i.e. plazas, squares, parks, playgrounds) with a high pedestrian activity. Devices and technologies that can be implemented include, but are not limited to, arbours and pergolas covered with climbing plants (i.e. trained vines), fixed, temporary or movable shading devices, translucent PV panels integrated to structures, tension membrane structures, building awnings (see Vertical greenery systems), etc [CRC 2017, Santamouris & Feng 2018, NSW 2013].
Option 2
Shading devices should always use light-coloured, high albedo and highly reflective materials (see Cool roofs), ensuring that the negative effects of glare on users of the public realm are minimised. Radiative cooling materials can be also applied to shading devices to enhance outdoor thermal comfort [CRC 2017, Santamouris & Feng 2018].
Option 3
Generally, fully glazed shading devices should be avoided. However, the combination of partially glazed (integrated PV-integrated systems) with fabrics, canvas, meshes and solid materials may be appropriate for locations with less solar exposure where natural light and energy production is required [CRC 2017].
Option 4
Shading devices can be additionally used to harvest rainwater for irrigation purposes provided that adequate downpipes, drainage and storage system are integrated and concealed [CRC 2017].
Option 5
Evaporative cooling technologies such as ceiling fans, misting fans, water sprinklers or fountains can be integrated to shading structures to enhance outdoor thermal comfort. The installation of evaporative cooling systems in humid climates should be considered with care as it might result in increased relative humidity and decreased outdoor thermal comfort [CRC 2017, Santamouris & Feng 2018, Santamouris et al. 2017].
Schematic diagram of different types of shading structures and adapted technologiesExamples of different shading structures built to provide solar protection in public spaces. Sources: [Poetic Kinetics 2019 and ArchDaily 2011]Examples of different shading structures designed by Arch. Achim Menges. Source: [AA London 2007]
zoom_in
Street Orientation
Provisions
Option 1
In streets with a north-south alignment, protection from solar radiation on the west-facing side of the street should be prioritised to avoid overexposure of building facades during afternoon hours [Matthias 2014].
Option 2
In street with an east-west alignment, the relationship between street width and building height should be carefully studied to avoid excessive solar radiation on the north-facing side of the street during nearly all daytime hours [Matthias 2014].
zoom_in
Water Sensitive Urban Design (WSUD) Technologies
Water filtration, harvesting and treatment systems are essential components of WSUD that can contribute to mitigate UHI by ensuring evapotranspirative cooling and managing storm- and rain-water for treatment and irrigation purposes. Thus, WSUD strategies and technologies should be included and prescribed in legislation and planning controls [DEPI 2014].
Raingardens (Bioretention Basins)
A raingarden or bioretention basin is a planted basin designed to collect and clean incoming stormwater runoff by using an underlying infiltration medium or a set of transitional layers.
Provisions
Option 1
Depending on the width and spatial configuration of the street, developments should consider the construction of water infiltration systems or raingardens either in medians, roadsides or near street corners. They can also be constructed in courtyards, green spaces, traffic islands (also roundabouts) and car parks (both alongside footpaths and parking lots) [DEPI 2014, City of Adelaide 2019, CRC 2015].
Option 2
An appropriate species selection of grass and plants is recommended. These include species with strong nutrient and pollutant removal properties, and with proven capacity to tolerate periodic inundation, dry periods and toxicity [DEPI 2014].
Bioretention swales (or bioswales)
Compared to raingardens, bioswales do not only harvest and filtrate incoming stormwater, but also move water along the drainage system. Bioswales are mostly grassed or vegetated, these promote water infiltration into the underlaying medium, this water is then collected into perforated pipes and redirected to the drainage system.
Provisions
Option 1
Depending on the width and spatial configuration of the street, developments should consider the construction of bioswales either in medians or roadsides [DEPI 2014, Natural resources 2019, City of Adelaide 2019].
Option 2
Appropriate species selection of grass and plants is recommended. These include species with strong nutrient and pollutant removal properties, and with proven capacity to tolerate periodic inundation, dry periods and toxicity [DEPI 2014].
Constructed Wetlands
Constructed wetlands are temporarily or permanently inundated areas that can help detain and control stormwater for a certain period of time and are designed for water management and treatment. They vary in scales and style and may include zones with shallow and deep water [WSUD 2019, CRC 2015].
Provisions
Option 1
Medium and large urban developments should designate low-lying areas for constructed wetlands that can help reduce surface temperatures, improve the thermal comfort of the surroundings, manage the floods and treat the stormwater from surrounding areas [WSUD 2019].
Option 2
Ephemeral and permanent plant species from deep, to shallow marsh, and to terrestrial areas should have a proven capacity to tolerate periodic inundation, dry periods and toxicity [CRC 2015].
Examples of raingardens. Source [CRC 2015]Examples of a bioretention swale in street median. Source [CRC 2015]Essential components for stormwater biofiltration systems. Source [CRC 2015]Example of a constructed wetland in Tianjin Qiaoyuan Park, China designed by Turenscape. Source [ASLA 2010]
zoom_in
Strategies to Reduce Anthropogenic Heat
Anthropogenic heat produced by human activities (i.e. industrial activities, transport, air conditioning) can significantly influence the formation and magnitude of the UHI; hence several strategies and provisions can be implemented to reduce the amount of heat originating from transport systems, assisted cooling/heating and urban energy in general [Santamouris 2015].
Provisions
Option 1
More efficient transport systems should be provided across the city, powered by renewable energy (wind, solar, tidal energy) to prioritise public transport over private cars [Santamouris et al. 2012, Fintikakis et al. 2010].
Option 2
Industry and building sectors should improve their energy efficiency and reduce the amount of waste heat [Jacovides et al. 1996].
Option 3
Reduce the use of air-conditioners in residential, commercial and mixed-use areas by implementing nature-based solutions and cool materials in new and existing precincts (see Provision of incentives) [Jacovides et al. 1996, Gaitani et al. 2011].
zoom_in
Provision of Heat Refuges
Heat refuges or public cooling centres are recommended for a more efficient heat management aimed at reducing heat-related morbidity and mortality on normal hot days and extreme heat events (i.e. heatwaves). In practice, air-conditioned facilities such as council libraries, halls and private facilities like shopping malls are commonly utilised as cool refuges during heatwaves. As these may be insufficient in some cases, additional special-purpose refuges could be strategically provided in public spaces including hydration stations, air-conditioned refuges, and emergency refuges [Fraser et al. 2018, UNSW 2019].
Provisions
Option 1
Public cooling facilities or heat refuges should be easily accessible and strategically spaced to allow young and elder people to rest, cool and recover during hot weather conditions. These areas should enable physical adjustment to heat using either passive or active cooling systems, while supporting incidental social activities [Fraser et al. 2018, UNSW 2019].
Option 2
Provision of heat refuges should be prioritised to locations where population are highly vulnerable to extreme heat events (i.e. with larger proportion of children and elders), and in lower income communities where constant air-conditioning cooling cannot be afforded [Fraser et al. 2018, UNSW 2019].
All levels of government should implement continuous campaigns to inform, educate and train population on the risks of extreme heat and how to plan, manage and implement measures to reduce the impacts of heatwaves and increasing urban temperatures. However, this strategy may require changes in legislation, so its effectiveness would vary among states [NYC 2019, VIC 2014, Surf Coast Shire 2011].
Option 2
Councils should establish and implement heatwave management and mitigation plans and share resources with the public (particularly public health and education facilities) online or via smartphones [NYC 2019, Natural resources 2019, Surf Coast Shire 2011].
Option 3
Additional technical support to the workforce and construction sector through training programs is essential for a widespread application of UHI mitigation technologies and strategies [OEH 2016].
Option 4
Local governments and energy and water service providers may provide education campaigns to the public on how to conserve and manage electricity and water consumption during extreme heat events to help relieve stress on supply systems by implementing strategies such as [OEH 2016, VIC 2014]:
Using ceiling or portable fans rather than air conditioners.
Run air-conditioners during off-peak hours to pre-cool homes, close blinds, shades and insulate indoor spaces properly to increase the efficiency of cooling devices.
Run major appliances early morning and late at night.
Unplug appliances and devices are not in use.
Turn off pool pumps during peak hours.
Water trees and plants at adequate times (i.e. late afternoon or evening)
Provide appropriate irrigation to plants before forecasted heatwaves (days before) and avoid watering plants during the morning and early afternoon.
Avoid washing cars during extreme heat events and morning hours.
Option 5
Councils should have policies in place to manage and schedule events such as sport games, festivals or public gatherings during summer in a way that impacts of heat on participants is minimised. Strategies include scheduling events during the late afternoon or evening, provide sufficient shade and water bottle filling stations, provide heat refuges and continuous emergency support [OEH 2016, VIC 2014, Surf Coast Shire 2011].
zoom_in
Provision of Incentives
Provisions
Option 1
Energy service providers may put in place program to reward customers for conserving electricity during extreme heat events to help relieve stress on the regional and national power grid by implementing simple strategies such as [Times 2019]:
Using ceiling or portable fans rather than air conditioners.
Run air-conditioners during off-peak hours to pre-cool homes, close blinds, shades and insulate indoor spaces properly to increase the efficiency of cooling devices.
Run major appliances early morning and late at night.
Unplug appliances and devices are not in use.
Turn off pool pumps during peak hours.
Incorporate more energy efficient appliances, devices and manufacturing technologies.
Option 1
Water service providers may put in place program to reward customers for a more efficient use of water during extreme heat events in residential, commercial and industrial areas) by implementing simple strategies such as [Tims 2019]:
Incorporate more water efficient appliances, devices and manufacturing technologies.
Application of more efficient irrigation systems (active and passive) and schemes to water plants during off-peak hours (i.e. late at night) to reduce a rapid evaporation.
Option 2
Government funding and incentives schemes may be offered to help businesses and developers to implement strategies and technologies related to UHI mitigation, energy efficiency and clean energy, green infrastructure provision, green buildings and construction, water sensitive urban design, sustainable transport and shipping, waste minimisation, and capability development [Green Future 2015].
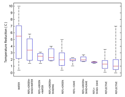
Combinations
Effectiveness
Greenery + Green roofs
Maximum ambient temperature reduction between 1.0 and 7.0 °C [Green Future 2015].
Average ambient temperature reduction between 0.5 and 2.5 °C [Green Future 2015].
Greenery + Green open spaces (grasses)
Maximum ambient temperature reduction between 0.7 and 7.0 °C [Green Future 2015].
Average ambient temperature reduction up to 3.7 °C [Green Future 2015].
Cool roofs + Cool Pavements
Maximum ambient temperature reduction between 0.35 and 0.91 °C [Green Future 2015].
Average ambient temperature reduction up to 1.43 °C [Green Future 2015].
Greenery + Cool Roofs + Cool Pavements
Maximum ambient temperature reduction up to 1.5 °C [Green Future 2015].
Average ambient temperature reduction between 0.1 and 1.4 °C [Green Future 2015].
Greenery + Cool Pavements
Maximum ambient temperature reduction between 0.4 and 5°C [Green Future 2015].
Average ambient temperature reduction between 0.1 and 1.4 °C [Green Future 2015].
Greenery + Cool Pavements + Water
Maximum ambient temperature reduction between 1.4 and 3.1°C [Green Future 2015].
Average ambient temperature reduction between 0.8 and 1.3 °C [Green Future 2015].
Greenery + Water + Shading Devices
Maximum ambient temperature reduction up to 3.5 °C [Green Future 2015].
Average ambient temperature reduction up to 2.2 °C [Green Future 2015].
Greenery + Cool Pavements + Shading Devices
Maximum ambient temperature reduction between 1.8 and 4.0°C [Green Future 2015].
Average ambient temperature reduction between 0.7 and 1.9°C [Green Future 2015].
Greenery + Cool Pavements + Water + Shading Devices
Maximum ambient temperature reduction between 1.4 and 5.8 °C [Green Future 2015].
Average ambient temperature reduction between 0.6 and 2.4 °C [Green Future 2015].
zoom_in
Several systems and technologies might be combined to mitigate the UHI. However, it is important to mention that any combination of strategies should be quite lower compared to the sum of the contributions of each mitigation technology separately [Santamouris et al. 2017]. The effectiveness of the strategies listed above were estimated from 55 urban projects from all over the world including reflective materials (cool roofs and pavements), greenery, water systems, shading devices, which represent the most popular combinations of mitigation technologies applied by real projects. [Santamouris et al. 2017]
Human Vulnerability Index
A Heat Vulnerability Index for Metropolitan Sydney
(Carole Bodilis, Komali Yenneti, and Scott Hawken, 2018)
To use the full functionality of the Heat Vulnerability Index please visit the original website
The heat vulnerability index measures the propensity of a population within the Sydney Metropolitan area to be negatively affected by extreme heat events. The index results from three key components measuring the vulnerability of population: exposure, sensitivity, and adaptive capacity.